Union Health Ministry ends mandatory COVID-19 testing,14-day quarantine of all health workers
The health ministry issued a circular on May 15, which has done away with the mandatory quarantine period and testing of health workers on COVID-19 duty. Karnataka, Delhi govts follow suit

In a quiet order, the union ministry of health and family welfare issued a circular on May 15, which has done away with the mandatory quarantine period and testing of health workers on COVID-19 duty. This came to light after the staff of both Ram Manohar Lohia Hospital at Central Delhi and Safdarjung Hospital in South Delhi were denied quarantine facilities and tests for Coronavirus. The RML Hospital medical workers were ordered to leave their quarantine facility and head home even if their 14-day quarantine wasn’t over.
While doctors are authorised to take their own nasal swabs to test for COVID-19, the nurses need the signature of a doctor for the test to be conducted on them. At Safdarjung Hospital, the officiating nursing superintendent Rekha Rai wrote to the Medical Superintendent Dr Balvinder Singh to authorise screening for the 114 nurses who completed their 14-day duty in COVID-19 wards on May 17. However, Singh said that there was no need to test these nurses and all the nurses could observe the quarantine themselves.
RML health workers were sent an order on May 18 evening asking them to ‘immediately’ vacate the hotels where they have been quarantined. In an insensitive order, the registrar of the hospital threatened to cut from their salary the rent of the hotel room if they did not vacate it. This order comes despite the fact that many have been quarantined at least 10 km away from the hospital and more than 20 km away from their homes. Neither did the hospital allow the testing of those who had completed their duty in COVID-19 wards, nor did they arrange for transportation.
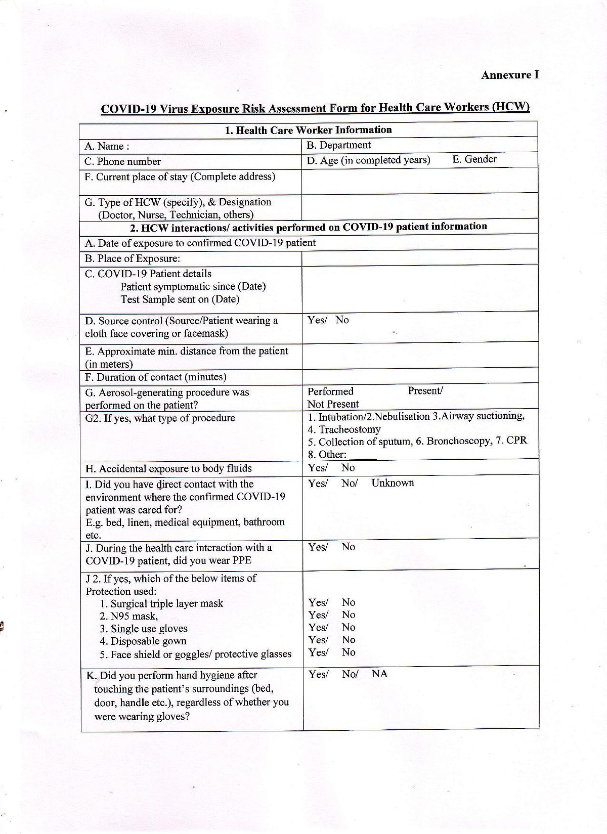
In the health ministry order, the government has stated that a nodal officer (infection control officer) has to be appointed. This officer is responsible to address the infection amongst health care workers.
Despite there being enough evidence that thermal screening is unlikely to detect or contain coronavirus, the ministry insists that provisions should be made only for regular ‘thermal’ screening of health care staff.
All health care workers are required to report every exposure to the nodal officer who will decide if it is a high-risk exposure or not. Only if it is a high-risk exposure, then will the health worker be quarantined or tested as per ICMR guidelines. If the officer classifies it as a low-risk, then the health care worker is expected to continue to work.
The latest guidelines from the ministry state that if a person who provides care to a COVID-19, without PPE, without the mask, face goggles or performed aerosol-generating procedures without PPE or having been exposed to a COVID-19 case without PPE for 15 minutes, only then can it be classified as high-risk. All the others are low risk.
The ministry states that in case of mild symptoms, the person must be home quarantined. If home quarantine is not possible, then they will be sent to a COVID Care center. In all these cases, the orders do not stipulate testing for COVID-19, instead of the order advocates self-monitoring. The order wilfully forgets asymptomatic health care workers.
This order has predictably upset all the frontline health care workers as it would put their families at additional risk. Currently, all those working in COVID-19 wards, are required to work for 14 days and then quarantine themselves for 14 days.
Nurses have it even more difficult as unlike doctors, they cannot authorise their own tests. “There was no consultation, no conversation. Are we expected to work in these COVID-19 wards till we drop dead? What if we are asymptomatic? Won’t I pass on the infection to my family? The government is clearly not thinking. They just want us to work like slaves. None of us even heard of this order,” said an irate nurse who works at Safdarjung Hospital. The medical staff is considering a protest if their demands are not met.
“On what basis did the government come out with these guidelines? They cannot disregard our health. If they do, several of us are likely to fall ill. My elderly parents live with us and I have a young child. I cannot expose them to the virus. I finished my 14-day COVID-19 duty a couple of days ago. Usually, the test is done after five days since the virus takes a few days to manifest itself. I was hoping to take the COVID-19 test on Tuesday or Wednesday and would have gone home immediately if the result was negative. No one wants to stay in these hotels, where the food is pathetic. We get a plate of pasta for breakfast. But this order is outrageous,” said an RML nurse, who did not want to be identified.
The RML medical staff did not vacate the hotels on Monday. The Nurses Union has decided to meet the Medical Superintendent Dr Minakshi Bharadwaj on Tuesday to demand tests be done on all those who worked in COVID-19 wards.
Even though doctors have it easier at COVID-19 wards as they are not required to be there at long stretches of time, they have decried it too. “After the 14-day COVID-19 duty, it is important to test the health care worker as only if they test negative should they go home. With this order, they are going to end up with a lot more infections than now,” said an RML doctor who was on COVID-19 duty.
“This is an ill-advised move. Home quarantine is not feasible. How many health care workers live in houses large enough to isolate themselves from their families at home? My friend tested positive for COVID-19 while he was staying with his pregnant wife, who is a doctor. Now has been admitted in the ICU,” pointed out a doctor working in a central government hospital in Delhi.
The Federation of Resident Doctors’ Association (FORDA) has written to the health minister Harsh Vardhan to rescind the order. FORDA President Shivaji Dev Barman has stated that even after taking all the necessary precautions, the doctors have tested positive for COVID-19. “Many asymptomatic patients are testing positive. Under the current circumstances, 14-day quarantine along with adequate testing after COVID-19 duty is a necessity in order to prevent infection among their colleagues and families,” said Dr Barman.
In addition to the central government, the Delhi government and Karnataka governments have issued orders on this matter. No other state governments have done so yet. In the Delhi government’s order, health secretary Padmini Singla stated that regular quarantine of health care workers after performing duty in COVID-19 areas is not warranted except as elaborated under the protocol of high risk and low-risk contact.
These orders come amidst news that several health care workers have tested positive. Six healthcare workers of the Hindu Rao Hospital tested positive for coronavirus on Monday. At least 30 medical workers of RML hospital tested positive in one month. At least 21 medical staff who work at Lok Nayak Hospital—a dedicated government-run facility for Coronavirus in Delhi—have tested positive for COVID-19 in the last one month. Earlier, at least 40 medical workers at the Delhi Government-run Dr Baba Saheb Ambedkar (BSA) Hospital, in West Delhi’s Rohini area, tested positive for Coronavirus
Follow us on: Facebook, Twitter, Google News, Instagram
Join our official telegram channel (@nationalherald) and stay updated with the latest headlines






